v Teoría de la mantenibilidad
La
mantenibilidad se puede definir como la expectativa que se tiene de que un
equipo o sistema pueda ser colocado en condiciones de operación dentro de un
periodo de tiempo establecido, cuando la acción de mantenimiento es
ejecutada de acuerdo con procedimientos prescritos.
ü Teoría N° 1:
En términos probabilísticas, Francois Monchy. (1989), define la mantenibilidad como “la probabilidad de reestablecer las condiciones específicas de funcionamiento de un sistema, en límites de tiempo deseados, cuando el mantenimiento es realizado en las condiciones y medios predefinidos”. O simplemente “la probabilidad de que un equipo que presenta una falla sea reparado en un determinado tiempo t.
ü Teoría N° 2:
Se
puede decir que la mantenibilidad de un equipo es la probabilidad de que un
dispositivo sea devuelto a un estado en el que pueda cumplir su misión en un
tiempo dado, luego de la aparición de una falla y cuando el mantenimiento es
realizado en un determinado período de tiempo, al nivel deseado de confianza,
con el personal especificado, las habilidades necesarias, manuales de operación
y mantenimiento, el equipo indicado, los datos técnicos, el departamento
de soporte de mantenimiento y bajo las condiciones ambientales
especificadas. (Knezevic, 1996, 47) (Blanchard yotros,1995,1)
(Díaz,1992,6) (Kececioglu, 1995, 30).
v Factores básicos de la
mantenibilidad
Según
Alejandro Jorge Pistarelli. (2010), la mantenibilidad de un sistema productivo
se divide en los siguientes factores:
Factores
Internos
|
Factores
Externos
|
·
Acceso a las partes.
·
Complejidad técnica (Diseño).
·
Manuales claros y completos.
·
Partes o piezas estandarizadas.
·
Manejo de componentes (peso, fragilidad, entre
otras).
·
Calidad de los materiales de fabricación.
·
Herramental necesario estandarizado
|
·
Disponibilidad de los repuestos.
·
Disponibilidad de mano de obra.
·
Capacitación de especialistas (Habilidad).
·
Herramientas para diagnóstico y reparación.
·
Capacidad en la programación de tareas.
·
Servicio Pos venta.
·
Limpieza y estado de la máquina
·
Historial de averías y procedimientos.
·
Procedimientos y recursos disponibles
|
v Parámetros básicos de la
mantenibilidad
Para
la estimación de este índice, se puede decir que existe un solo parámetro
básico, conocido como el tiempo promedio fuera de servicio (TPFS), el cual, puede
ser obtenido analítica o gráficamente basándose en el número total de horas
fuera de servicio debido a una falla y el número de acciones de mantenimiento
involucradas.
El TPFS, es el tiempo transcurrido desde que
el equipo es desconectado hasta que es entregado de nuevo para cumplir su
función. Este intervalo de tiempo está constituido por la sumatoria de los
siguientes períodos individuales:
·
Enfriamiento: Es el tiempo
transcurrido desde que el equipo es desconectado y el instante en que las
condiciones permitan su intervención.
·
Localización de la falla:
Representa el tiempo empleado en ubicar el desperfecto.
·
Reparación: Es el tiempo que dura
la reparación del equipo.
·
Demora por materiales: Comprende
el tiempo gastado en la espera de materiales, de no existir en el almacén.
·
Administrativo: Es el tiempo
gastado en actividades como turnos no trabajados, fines de semana, espera de
permisos, prioridad de realización de otros trabajos, etc.
·
Arranque: Es el tiempo que se
debe dedicar a la puesta en marcha del equipo una vez reparado. Miguel
Rodríguez, 1998
Es
importante entender la relación entre mantenibilidad y el “tiempo empleado” en
las tareas de mantenimiento. La mantenibilidad está directamente relacionada
con el área de la parte inferior de la gráfica de funcionabilidad de un
sistema. Las medidas mediante las cuales se puede describir la mantenibilidad
están relacionadas con el tiempo en el cual el sistema se encuentra y debido a
que este tiempo no es constante se utilizan medidas tales como:
Tiempo
medio entre fallas (MTBF), Tiempo de recuperación (TTR), Tiempo medio de
recuperación MTTR etc. y son consideradas variables aleatorias y sólo pueden
ser descritas de forma probabilística.
· Tiempo de recuperación TTR
El
lapso de tiempo comprendido desde el instante en que ocurre una falla en el
sistema, que imposibilite su funcionabilidad, hasta el instante en el cual se
logre recuperar el sistema, es conocido como Tiempo de recuperación TTR (Time
to Restore), como mencionamos en la sección anterior, diversos factores
involucrados en el proceso de mantenimiento o de recuperación del sistema,
provocaran que TTR sea variable, incluso para sistemas idénticos con fallas
idénticas. De la variabilidad de TTR se
deduce que el proceso de recuperación del sistema solo puede describirse en
términos probabilísticos, siendo TTR una variable aleatoria.
·
Tiempo
medio de recuperación MTTR
Lo
definimos como la media de la variable aleatoria TTR o la media de la
distribución de probabilidad de TTR. También es común referirse a esta media
como la esperanza matemática o el valor esperado, en este caso de la variable
TTR y denotada por MTTR, es importante hacer énfasis que éste es un valor
promedio del tiempo de recuperación, pero que no necesariamente tiene que ser
el resultado de algunos de los tiempos que tome recuperar el sistema. Sabemos
que la media o valor esperado de cualquier variable aleatoria discreta, se
puede obtener al multiplicar cada uno de los valores de la variable aleatoria
por su correspondiente probabilidad y sumar los productos. Sin embargo, en este
caso TTR es una variable aleatoria continua, por lo cual utilizamos integrales
para reemplazar a las sumatorias, de este modo:
Donde m(t) es la función de densidad de
probabilidad de la variable TTR.
·
Tiempo
medio entre fallas MTBF
El tiempo medio entra fallas MTBF, se utiliza
en sistemas cuya funcionabilidad puede ser recuperada y se establece, como el
valor medio entre fallas, luego de fallas consecutivas durante un periodo
determinado.
Donde:
n =
Número de componentes objeto del análisis de fallas.
T =
Tiempo analizado.
K = Cantidad de fallas durante el tiempo
analizado.
v La Predicción de la
mantenibilidad

La predicción de la mantenibilidad consiste en estimar la carga de trabajo asociada a cada intervención de mantenimiento al objeto de poder establecer la conformidad del diseño con los requerimientos especificados. En el caso de mantenimiento correctivo, la predicción no es tarea fácil porque el tiempo necesario para realizar la restauración de un equipo es suma de los tiempos exigidos por cada una de las actividades que las conforman, siendo las más importantes aquellas que se indican en la tabla de fases constitutivas. Además, está el hecho que, las fases para la restauración de un determinado componente en un equipo concreto pueden ser afectadas por numerosos factores que aumentaran o disminuirán el tiempo inicialmente consignado. Tales factores pueden provenir del propio diseño del equipo, debido a su complejidad, peso y modularidad de los componentes, facilidad de acceso, intercambiabilidad, visibilidad, etc.; otros factores pueden ser debido a aspectos organizativos, como el dimensionamiento de los grupos de trabajo, su grado de descentralización, la distribución de los almacenes, la calidad y disponibilidad de la documentación, finalmente, otros factores, como la existencia e idoneidad de los procedimientos de trabajo, de los útiles e instrumentos de medida, etc.; pueden deberse a la práctica operativa de la empresa o centro de trabajo donde esté ubicado el equipo.
Una
vez conocido el tiempo medio para reparación (MTTR), de los diversos
componentes que integran un equipo, puede conocerse la mantenibilidad del mismo
mediante la ecuación:
En definitiva, la cuantificación del MTTR exige conocer con detalle las operaciones de mantenimiento correctivo de las diferentes partes de un equipo, sus tiempos medios de restauración y sus tasas de fallo correspondientes, todo lo cual no suele estar disponible durante gran parte del proyecto del equipo, especialmente si esta novedoso; por todo ello y como mejora de la mantenibilidad de un equipo en la fase de diseño puede conseguirse si se optimizan sus aspectos ms críticos, se ha ido imponiendo un enfoque cualitativo, dada su mayor sencillez.
Cabe destacar que, en general, los métodos cualitativos no sirven exactamente para predecir la mantenibilidad, sino que evalúan el diseño del equipo desde el punto de vista de la mantenibilidad, siendo por tanto, una fuente de información para el diseñador tanto más útil cuanto más compleja sea el equipo. En el ca
so de mantenimiento preventivo la predicción suele ser una tarea algo menos compleja, ya que las actividades de mantenimiento suelen estar muy estandarizadas por parte de los diferentes suministradores de los componentes que integran el equipo. Aunque no suele ser muy habitual en la práctica, puede obtenerse un tiempo medio de mantenimiento preventivo MTMP a partir de los tiempos de revisión de cada componente y e las frecuencias de intervención Fe; es decir:
v Distribuciones Empleadas Para
Estimar La Mantenibilidad.
Según Gabriel M. (2003) Al igual que para la
confiabilidad, la mantenibilidad también es estimada mediante la aproximación
de los respectivos datos a modelos específicos, entre los cuales, los más
empleados son:
·
Distribución
exponencial:
Se
adapta muy bien cuando las intervenciones al equipo son de corta duración, que
constituyen principalmente intercambio de piezas estándar, su expresión
matemática, es una ecuación exponencial negativa como se muestra a
continuación:
ü M(t):
es la función mantenibilidad, que representa la probabilidad de que la
reparación comience en el tiempo
ü t=0
:y sea concluida satisfactoriamente en el tiempo t (probabilidad de duración de
la reparación).
ü e:
constante Neperiana (e=2.303..)
ü µ:
Tasa de reparaciones o número total de reparaciones efectuadas con relación al
total de horas de reparación del equipo.
·
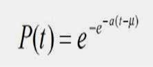
Distribución
de Gumbell:
Esta
es la distribución más comúnmente empleada para estimar la mantenibilidad,
debido a que puede ser aplicada cuando se tienen intervenciones cortas y
algunas largas, pero principalmente porque los cálculos son muy sencillos,
debido a la existencia de un papel funcional que simplifica la metodología de
evaluación del índice.
Dónde:
ü P
(t)= Densidad de probabilidad.
ü a=
Parámetro de dispersión.
ü t=
Tiempo en estudio (TPFS).
ü µ=
Parámetro de posición.
Los
parámetros anteriores, pueden ser encontrados de una manera sencilla utilizando
el papel probabilístico, también llamado papel de tipo gumbell.
Dónde:
ü =Y1
Tiempo fuera de servicio para P(t)= 27%.
ü =Y2Tiempo
fuera de servicio para P(t)= 95%.
El
parámetro de posición, corresponde al TFS para una probabilidad de falla de36.8%
v Mejoramiento de la Mantenibilidad
REFERENCIAS BIBLIOGRAFICAS
·
KARDEK, A,. NASCIF, J.
Mantenimiento, Función Estratégica, CIP Brasil, Rio de Janeiro, 2002
·
FINLEY, H. Uma visao Abrangente
da Analise de Confiabilidade de Equipamentos, Traducido por Oao Ricardo B.
Lafraia, 1995
·
LAFRAIA, J. R Manual de
confiabilidad, Mantenibilidad y disponibilidad, Qualitymark Editora, 2001.
·
2014 BuenasTareas.com https://www.buenastareas.com/join.php?redirectUrl=%2Fensayos%2FConfiabilidad-Mantenibilidad-y-Disponibilidad%2F2132448.html&from=essay
·
FIDIAS, Arias. 1999. El Proyecto
de Investigación. Editorial Episteme, Caracas, Venezuela.
·
GONZALEZ José, GONZALEZ Maylén y
MORALES José. 1992. Evaluación de Plantas de Deshidratación. INTEVEP. Los
Teques, edo. Miranda, Venezuela.
·

















No hay comentarios.:
Publicar un comentario